首页 产品 化学品

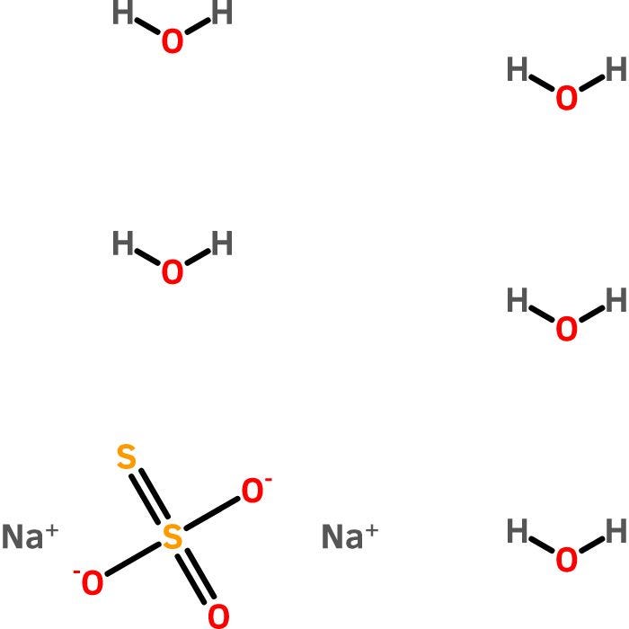
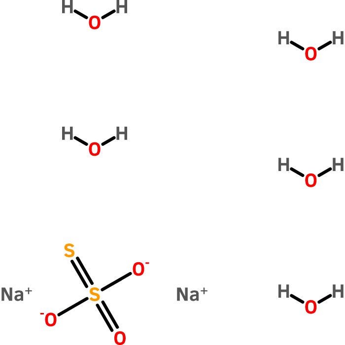
硫代硫酸钠,五水合物,晶体,试剂,ACS

  • 分子式:

    Na2S2O3•5H2O

  • 目录编号:

    S1500

  • 供应商/品牌:

    斯百全化学

  • CAS 编号:

    10102-17-7

主要计量单位:
500 GM
2.5 KG
12 KG
50 KG
显示 UOM:
EA
CS(4)
CS(6)
描述
硫代硫酸钠五水合物,晶体,试剂,ACS - 在分析化学中,最重要的用途是因为硫代硫酸根阴离子与水溶液中的碘反应定量。作为ACS级质量试剂,其化学规格是许多高纯度应用中使用的化学品的事实上的标准,并通常指定实验室可用的最高质量化学品。Spectrum Chemical生产的试剂级ACS产品满足最严格的监管标准,以质量和纯度。
规格
打印规格
测试
最小
最大
  • 含量测定(Na2S2 O3·5H2O)
    99.5-101.0%
  • 25 ° C下5%溶液的pH值
    6.0- 8.4
  • 不溶物
    0.005%
  • 氮化合物(以N计)
    0.002%
  • 硫酸盐和亚硫酸盐(作为SO4)
    0.1 %
  • 硫(S)
    通过测试(限制约1 ppm)

文档

最近浏览

联系我们

联系我们

发送

了解更多

关于斯百全

斯百全利用 50 多年的经验,采购、质检和重新包装其他制造商提供的化学品,以满足高度监管行业组织的需求。斯百全是一家经过认证的女性企业 (WBE)。

斯百全在全球三个地区拥有 200 多名员工。我们提供 45,000 多种实验室、放大和大批量化学品,以及 60,000 多种用品、设备、消耗品和 PPE。我们总共代表 250 家制造商,为 70 个国家的 120 个行业提供服务。

我们按批次进行内部质量控制测试,以确保每家工厂的质量,并提供广泛的法规和科学文件以确保合规性。我们还提供变更控制、批次可追溯性和供应链透明度,以消除不可预测性。我们的产品在经 FDA 注册和检查的工厂内按照 cGMP 进行包装和储存。

凭借我们多样化的产品组合和对质量的不懈关注,我们提供安全的供应以最大限度地降低风险和原材料的变化,并提供高度个性化的服务和实用的咨询,以赢得您的信任并超越期望。
斯百全化学公司(Spectrum Chemical Mfg Corp)创立于1971年,迄今已拥有半个世纪的经营历史。作为化学试剂及药用原料的供应商,拥有超过1200种符合美国药典(USP)标准的产品。斯百全化学在全球范围内设有三家分支机构,除加州总部外,还包括位于美国新泽西州以及中国的全资子公司。

斯百全化学(上海)有限公司(Spectrum China Limited)成立于2005年,专注于为制剂生产提供药用辅料。斯百全化学为客户提供多样化的定制包装服务,以满足从处方筛选、中试到商业化生产等不同阶段的需求。此外,公司还能够协助客户进行制剂辅料的关联审评,确保符合中国国家药品监督管理局的相关法规要求。斯百全化学致力于提供高质量的产品与服务,确保客户能够选择到最优质的制剂辅料。

Copyright ©2025 斯百全化学(上海)有限公司 版权所有

沪ICP备10015707号